A. 병태생리학
•
Ketone은 cell내에서 long-chain FA 의 대사과정에서 생기거나 perivenous hepatocyte에서 만들어 serum으로 이동 -> cell에서 소비됨
•
Brain의 에너지원으로 사용 (LCFA는 BBB를 통과 못 함)
•
Ketone은 acetyl Coenzyme A로서 TCA cyle에 들어가서 추가 에너지원으로 사용됨
•
Insulin 과 ketone 레벨이 낮고 cortisol과 epinephrine이 높으면 ketone 생성이 유발된다
•
DKA를 제외하면 ketoacidosis에서 insulin level이 낮은 경우는 없다.
•
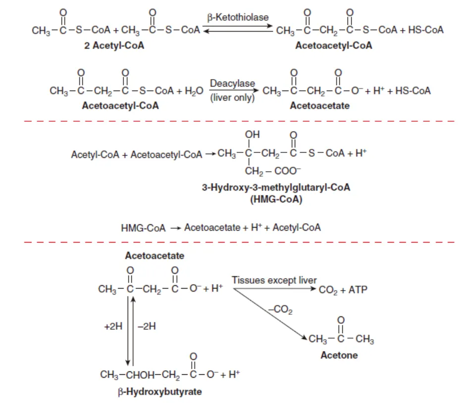
Acetyl coenzyme A (liver에서 생성)
⇒ beta-hydroxybutyrate 와 acetoacetate 로 바뀜
⇒ acetone으로 decay
⇒ 호흡으로 나감
A1. Ketone의 비율
•
다양하게 나타남.
•
정상적 조건 : BHB : acetoacetate = 1:1
•
alcoholic ketoacidosis : BHB가 acetoacetate보다 매우 많다.
•
DKA : BHB가 acteoacetate보다 좀 더 많다
•
소변 ketone 검사 : acetoacetate 만 검출됨
•
혈액 ketone 검사 : 1차적으로 BHB를 측정함
A2. Alcoholic Ketoacidosis
•
폭음 후 공복 상태일 때 발생
•
탈수 및 대사산증 유발
•
오심, 구토, 복통
•
BHB가 acetoacetate보다 많다. 10:1
•
소변 ketone 수치는 낮다 (acetoacetate 가 낮아서)
A3. Starvation Ketosis
•
공복 시나 에너지가 필요한 상황 시 ketone 생성 증가함.
•
공복기간이 길어지면 Liver에서 Ketone 생성 및 Brain에서 Ketone 소비가 증가
•
적절하게 인슐린이 유지되고, 다른 이상 없으면 14일 정도는 요구량 이상의 Ketone 증가는 없이 tolerate하다
•
임신은 24~48시간 POI 정도로 필요이상의 ketone 생성 및 탈수 발생가능
•
기타 대사요구량이 증가하는 상황에서도 Ketosis 가능 (수유, 갑상선기능항진 등)
A4. Nutritional Ketosis
•
엔듀런스 운동 시ketone 포함 보충제 먹으면 세포 내 에너지 퍼포먼스 증가한다는 연구있음
안전성은 미확립
•
식이 ketone 섭취가 병적 ketosis를 유발하는지는 알려져있지 않음.
(1) Ketogenic Diet
•
체중조절, Seizure에서 ketogenic diet가 적합함
•
정상인에서는ketogenic diet가 metabolic acidosis 유발하지 않음.
A5. Toxic Ingestions에 의한 Ketosis
•
몇몇 중독에서 ketone 생성이 증가함.
•
acetone, aspirin, INH, isopropanol, methanol, propylene glycol
B. Differential Dx
•
Column 1 에서는 상당한 탈수와 전해질 이상이 종종 동반된다.
C. 치료
•
supportive
•
수액보충 (isotonic solution)
•
Dextrose 투여
•
전해질교정 : 저마그네슘혈증 교정
•
저인산혈증 : 미토콘드리아에서 glucose 이용 및 에탄올 대사에 P 필요
⇒ P < 1.0 mg./dL 이하로 매우 낮은 경우에만 보충
•
Alcoholics에서는 Thiamine 투여



